고객 생애 가치(LTV)의 의미와 계산 방법

우리 비즈니스가 얼마나 지속 가능하게 성장하고 있는지 확인하고 싶으신가요? 그렇다면 획득한 유저가 우리 비즈니스에 얼마만큼의 수익을 가져다주는지를 보여주는 **고객 생애 가치(LTV, Lifetime Value)**를 확인해보세요.
LTV는 리텐션(retention)을 돈으로 환산한 지표와도 같습니다. 마케팅 의사 결정에 기반이 되며 비즈니스의 지속가능성을 보여줍니다. 다만 이전에는 계산이 까다로우며 비교적 추상적이고 두루뭉술한 개념으로 여겨지기도 했습니다. 아직 LTV가 낯설게 여겨지는 분들을 위해 이번 포스트를 통해 LTV가 무엇인지 그리고 다양한 계산법을 소개합니다. LTV를 앱 마케팅에 적용하여 지속 가능한 비즈니스의 성장을 이루어보세요.
고객 생애 가치(Lifetime Value, LTV)란?
소비자 생애 가치(Customer Lifetime Value / CLV 혹은 CLTV)로 불리기도 하는 지표로, 한 명의 고객이 우리 비즈니스에서 발생시킬 것으로 예측할 수 있는 전체 수익을 의미합니다. 모바일 앱 마케팅의 발전과 함께 수집하고 확인할 수 있는 데이터가 늘어나면서 보다 널리 활용될 수 있는 환경이 만들어졌습니다.
LTV는 간단하게 말하자면 고객 한 명이 비즈니스에서 평생 발생시킬 매출이자, 고객 한 명의 누적 결제 금액을 의미합니다. 그래서 단순하게는 유저가 평생 발생시킬 수익을 전부 더한 값에서 유저를 획득하기 위해 투자한 비용(CAC, Customer Acquisition Cost)을 빼서 값을 얻을 수 있습니다. 물론 LTV를 계산하는 것이 이렇게 단순하지만은 않습니다. 다양한 LTV 계산 방법은 아래에서 보다 자세히 다뤄보겠습니다.
LTV를 계산하고 확인하는 것이 왜 중요한가?
LTV를 계산하면 마케팅 결과로 획득한 고객이 비즈니스에 기여하는 가치를 수치화하여 고객과 우리 비즈니스 간에 얼마나 관계가 지속되고 있는지 파악할 수 있습니다. 단지 유저 획득으로만 마케팅 성과를 판단하는 것이 아닌, 유저가 얼마나 지속적으로 우리 비즈니스를 찾는지를 통해 비즈니스 사이클 전반에 걸친 마케팅 성과를 판단할 수 있는 효과적인 지표입니다. 이와 더불어 LTV의 중요성에 대해 보다 구체적으로 살펴보자면 다음의 세 가지 이유와 같습니다.
1. 비즈니스의 수익성과 지속가능성 파악
LTV를 계산하면 유저가 앱 내에서 발생시킨 매출에 대한 추정치를 확인할 수 있습니다. 이를 기반으로 우리 비즈니스가 얼마나 수익성이 있고 지속 가능한지 살펴볼 수 있습니다. 앞서 언급한 것처럼 LTV는 비즈니스의 성장을 위한 또 다른 중요한 지표인 리텐션을 돈으로 환산한 지표와도 같다고 여겨지기도 합니다. LTV와 리텐션은 고객과 우리 비즈니스의 상호작용과 성장 정도를 파악하는데 빼놓을 수 없는 중요한 두 지표입니다. 고객의 리텐션 비율이 높다고 하더라도 고객의 결제 금액이 적어서는 성장에 한계가 있으며, 높은 지출을 보이는 유저가 있다고 하더라도 고객이 다시 우리 비즈니스를 방문해 주지 않는다면 그 비즈니스는 지속 가능하지 않습니다. 리텐션과 LTV를 함께 확인하고 이를 개선하려는 노력을 통해 지속 가능한 비즈니스로 성장해갈 수 있습니다.
2. 신규 고객 획득 비용의 최대치 계산 및 효율 개선
LTV는 신규 고객을 확보하기 위해 얼마만큼 까지의 비용을 지출할 수 있는지에 대한 기준을 정하는 데에도 좋은 지표입니다. LTV를 계산하여 고객들이 우리 비즈니스에서 어느 정도의 매출을 발생시키는지 파악했다면, 신규 유저 획득 비용은 그보다 낮아야 합니다.
게다가 신규 고객을 획득하여 구매를 촉진하는 것보다 기존 고객을 유지시키고 재구매를 유도하는 것이 훨씬 효율적입니다. 일반적으로 신규 고객 획득 비용이 기존 고객 유지 비용에 비해 5배 더 높다고 합니다. 이는 즉 LTV가 높은 고객군을 파악하고 관리하는 것의 중요성과도 이어지게 됩니다. 가치 있는 고객에게 보다 좋은 혜택을 제공하여 상호작용을 증진하게 되면 수익의 개선과 LTV의 증가 그리고 신규 고객 획득 비용의 절감으로 이어질 수 있습니다.
3. 효율적인 마케팅 채널 파악 및 예산 분배의 효율성 증진
유입 채널별 유저들을 코호트로 나누어서 LTV를 계산해 보면, 가장 높은 가치를 보이는 유저군을 획득한 채널을 찾을 수 있습니다. 이를 통해 가장 효율적인 마케팅 채널을 파악하여 예산 분배를 조절하면 고가치 유저군을 획득할 수 있는 가능성을 높일 수 있습니다. 즉, 우리 비즈니스에서 가장 많은 수익을 발생시키는 고객군 획득하는 방향으로 UA 전략을 발전시켜서 마케팅 예산의 ROI를 개선해갈 수 있습니다.
위의 세 이유를 종합하여 살펴봤을 때, LTV를 제대로 계산하면 의사 결정을 내릴 수 있는 효과적인 근거를 획득할 수 있으며 비용 효율을 최대화할 수 있기 때문에 중요하다고 할 수 있습니다.
다만, 이때 주의해야 할 점은 모든 업계에서 LTV가 중요한 지표는 아니라는 점입니다. 부동산, 자동차 등 자주 구매할 수 없는 고관여 상품 혹은 서비스를 판매하는 경우 LTV를 계산하거나 유의미하게 활용하기 어렵습니다. 구매를 결정하기까지 시간이 오래 소요되기도 하며 재구매가 발생하지 않을 수도 있기 때문에 LTV를 주요 지표로 두어서는 효율적인 의사 결정을 내릴 수 없습니다.
LTV를 계산하는 방법
앞서 LTV가 중요한 이유를 통해 우리 비즈니스에 필요한 지표임을 확인했다면, 다음으로는 LTV를 계산하는 방법을 알아보겠습니다.
모바일 기술의 발전으로 인해 광고 클릭 및 노출, 구매 등 유저의 행동 데이터를 실시간으로 확보할 수 있게 되면서 LTV를 세밀하게 계산할 수 있는 환경이 구축되었습니다. 하지만 다양한 계산 방법이 존재하며 고려해야 할 요소가 많기 때문에 계산이 쉽지는 않습니다. 이번 포스트를 통해 소개하는 다양한 방법을 확인하고, 각 프로덕트 및 서비스의 상황에 따라 가장 효과적인 방법을 선택하는 데에 도움이 되기를 바랍니다.
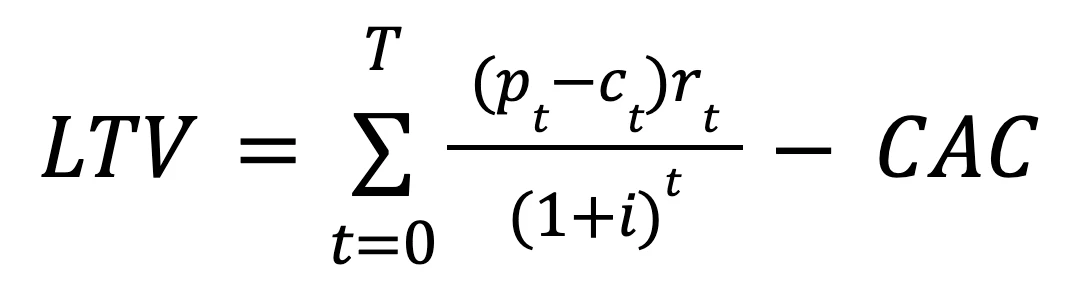
1. 수익 x 재구매율 - 고객획득비용
지난 MGS 2022에서 진행된 세션 중 하나인 MMP 데이터를 활용한 리텐션 예측과 LTV 추산에서도 소개했듯이, 전통적으로 LTV를 구할 때에는 아래 공식을 사용해 왔습니다.

여기서 t는 ‘특정 기간’, p는 ‘유저가 서비스에 지불한 값’, c는 ‘유저에게 서비스를 제공하는데 필요한 비용’입니다. 그래서 (p-c)는 ‘수익’을 의미합니다. 여기에 해당 유저의 재구매율(r)을 곱하고, 이를 서비스의 현재 가치로 환산한 다음, 고객 획득 비용(CAC)을 뺍니다. 고객 획득 비용은 앞서 언급한 것처럼 유저를 획득하기 위해 투자한 비용을 의미합니다.
다만 이 방식은 개별 유저 혹은 특정 매체를 통해 유입된 유저에 대한 LTV를 구할 수 없다는 단점이 존재합니다.
2. (평균 구매 금액 x 총 마진 × 구매 빈도 × 고객 수명) – 고객 획득 비용
평균 구매 금액에 평균 총 마진, 구매 빈도, 고객 수명을 모두 곱하고, 고객 획득 비용을 빼는 방법을 활용할 수도 있습니다.
여기서 평균 구매 금액은 ‘고객의 거래당 평균 구매 금액’을 의미하며, 같은 기간 동안 총 수익 ÷ 총 주문 수 로 계산할 수 있습니다. 총 마진은 (총 매출 - 매출 원가) ÷ 총 수익 으로 계산합니다. 또한, 구매 빈도는 ‘주어진 기간 동안 고객 1명의 평균 거래 수’를 의미하며, 같은 기간 동안 총 구매 수 ÷ 고객 수 로 계산합니다. 고객 수명은 ‘고객이 우리 비즈니스에서 구매를 유지하는 평균 기간’, 즉 고객 관계가 유지되는 기간을 의미하며 전체 고객 수명 ÷ 고객 수 로 계산합니다.
3. ARPU x 재구매율
재구매율 및 LTV 예측을 위한 확정적(deterministic) 모형 중 하나로, 과거 데이터에 기반하여 아래와 같은 공식을 통해 LTV를 계산할 수 있습니다.

여기서 ARPU(Average Revenue Per User)는 ‘유저당 평균 수익’을 의미하며, 유저가 1년 동안 잔존한다는 가정 아래 ARPU에 각 시점의 재구매율(r)을 각각 곱한 값을 모두 더하면 LTV를 추산할 수 있습니다.
단순하게는, 모바일 광고 네트워크 Tapdaq에서 만든 공식인 *LTV = ARPU x *1/Churn 을 활용할 수도 있습니다. Churn은 이탈한 고객의 비율을 의미하며, 이의 역수 1/Churn는 복귀율을 의미합니다. 즉 LTV를 유저당 평균 수익 x 복귀율로 계산할 수 있습니다.
정확한 LTV를 계산하고 비즈니스의 성장을 위한 인사이트를 얻어보세요.
LTV는 어떤 고객이 우리 비즈니스에 가장 많은 수익을 가져다주고 가장 높은 충성도를 보여주는지 파악하는 데에 효과적인 지표입니다. 의사 결정을 위한 중요한 지표이자, 비즈니스의 성장을 위한 인사이트를 얻을 수 있습니다. 그렇기 때문에 정확하게 계산해야 합니다.
정확한 LTV 계산을 위해서는 1) 정확한 데이터의 수집 2) 적절한 LTV 계산법이 필요합니다. 특히 데이터를 수집하기 위한 기반으로 에어브릿지와 같은 앱 어트리뷰션 툴 / MMP의 도움을 받을 수 있습니다. 고객 획득 비용 확인을 위한 매체별 광고비는 물론, 앱 내에서 발생한 구매 등을 기반으로 한 ARPU 등까지 한 번에 빠르게 확인할 수 있습니다. 그리고 이 데이터를 기반으로 앞서 소개한 LTV 계산 방법 중 우리 비즈니스 상황에 따른 가장 적절한 방법을 선택하여 계산하면 됩니다.
정확한 LTV 계산을 통해 비즈니스 성장을 위한 인사이트를 얻고 지속 가능한 성장을 이루어보세요.
모바일 성장을 혁신할 준비가 되셨나요?
에어브릿지가 선도 기업의 모든 터치포인트를 측정하고 최적화하는 방법을 알아보세요.

